NEWS / BLOG
Sed interdum massa lacus, a porttitor risus gravida sed. Nulla ultricies ex non sagittis vulputate. Integer fringilla convallis risus, id semper est interdum non.
LATEST ARTICLES
Quisque molestie tristique nisi et luctus. Proin eget velit quis lorem euismod pulvinar. Phasellus lobortis tellus dignissim metus varius volutpat. Integer a lacus mauris.
ENCUESTA 2.0
Enlace directo a ENCUESTA 2.0: https://epa.educa.aragon.es/encuesta20/
N2-N3 LISTAS PROVISIONALES DE ADMITID@S A LA PRUEBA LIBRE ELEVADAS A DEFINITIVAS
Las listas provisionales quedan elevadas a definitivas. Puedes consultarlas en: N2: LISTA PROVISIONAL DE ADMITIDOS - CPEPA Casa Canal N3: LISTA PROVISIONAL DE ADMITIDOS - CPEPA Casa Canal Te recordamos las fechas de examen: N2: viernes 28 de noviembre a las 10:30h (acudir a las 10:15). Recuerda traer calculadora (móvil prohibido) si tienes matemáticas. N3: lunes 1 de diciembre a las 10:30h (acudir a las 10:15) Trae calculadora (móvil prohibido) si tienes matemáticas.
ASEGURA LA MARCHA
El pasado miércoles 12 de noviembre pudimos disfrutar de la charla “Asegura la marcha”, a cargo de la Unidad de Motoristas y Educación Vial de la Policía Local de Zaragoza . Durante la sesión nos explicaron la normativa actual para peatones, bicis, VMP y ciclomotores y nos mostraron estadísticas, vídeos y fotos reales de siniestros viales que nos hicieron reflexionar sobre cómo nos movemos por la ciudad. También nos hablaron de riesgos y de cómo evitarlos. Además hicieron un repaso rápido por responsabilidades civiles y penales (sí, eso también nos toca ). Durante la charla pudimos resolver dudas, aprender más sobre las normas de tráfico y, sobre todo, concienciarnos de la importancia de cumplirlas para EVITAR SINIESTROS VIALES. ¡Ahora tod@s nos desplazamos más segur@s!
PRESENTACIÓN DEL PROGRAMA POESÍA PARA LLEVAR 25-26
El pasado jueves alumnado de nuestro centro presentó en nuestras aulas el programa "Poesía para llevar", que como cada año acerca el arte de la poesía a los centros participantes. Como bien nos remarcan estos fantásticos "chefs" poéticos, el menú de poemas va a ser variado así que animamos a toda la comunidad educativa a disfrutar de cada poema cual receta de un manjar, saboreando lentamente cada verso. ¡Gracias por la "performance", chic@s!
N2: LISTA PROVISIONAL DE ADMITIDOS
Periodo de reclamación de admisión: del 17 al 19 de noviembre de 2025 Publicación de listas definitivas personas admitidas: 21 de noviembre de 2025 Fecha de Examen N2: Viernes 28 de noviembre de 2025
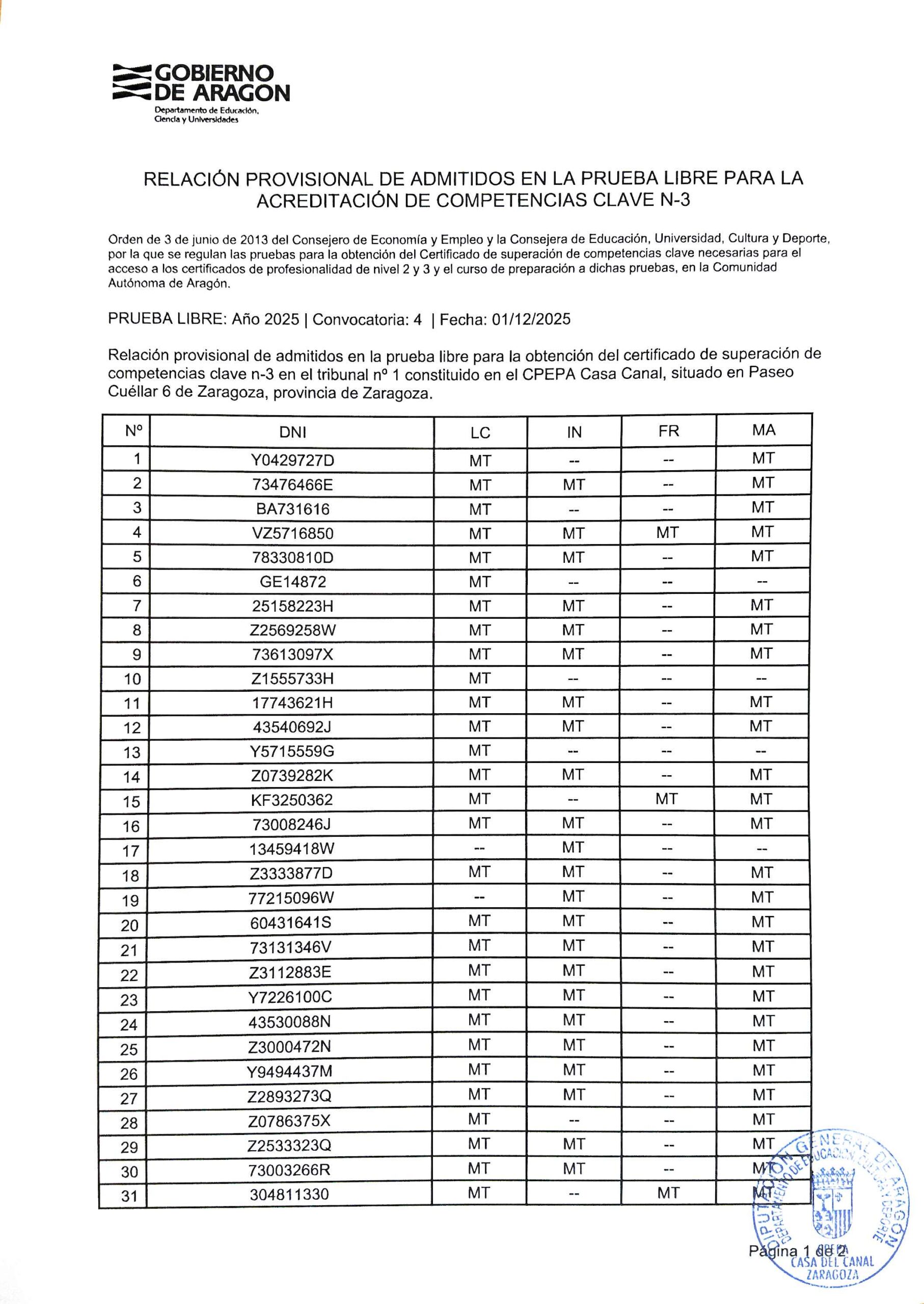
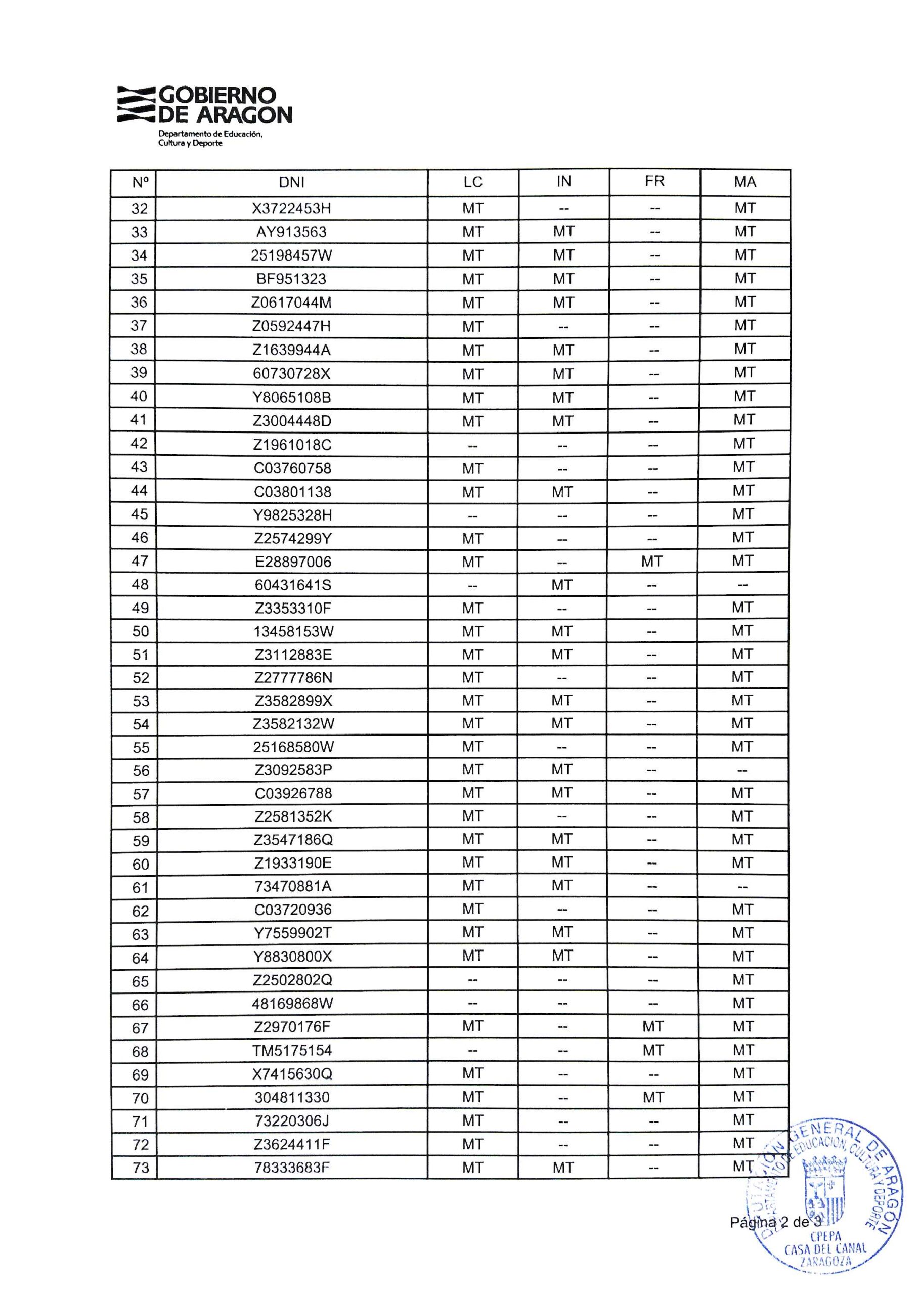
N3: LISTA PROVISIONAL DE ADMITIDOS
Periodo de reclamación de admisión: del 17 al 19 de noviembre de 2025 Publicación de listas definitivas personas admitidas: 21 de noviembre de 2025 Fecha de Examen N3: lunes 1 de diciembre de 2025
QUALITY GUARANTEE
Sed venenatis urna sit amet vulputate lobortis. Nullam dolor sem, varius eu luctus vitae, mattis id dolor. Proin ultricies feugiat ipsum. Quisque lobortis risus sapien, quis pulvinar turpis placerat ut. Vivamus eu egestas est, commodo ultricies turpis. Donec a consequat nisi, non pellentesque risus. Fusce lacinia sem a mollis tempus. Etiam in sapien non odio ornare iaculis vel vel enim. Sed velit urna, pharetra non quam nec, consequat hendrerit ex. Phasellus ac rutrum diam.
LOCALIZACIÓN
Centro Público de Educación de Personas Adultas
Casa del Canal
Paseo J. A. Bolea Foradada, 20 (Antiguo Paseo de Cuéllar, 6)
50006 – Zaragoza
Tf: 976278886 – FAX: 976253556
OFFICE LINE
1.800.555.6789
EMERGENCY
1.800.555.0000
WORKING HOURS
9:00am – 6:00pm
OFFICE LINE
1.800.555.6789
EMERGENCY
1.800.555.0000
WORKING HOURS




