NEWS / BLOG
Sed interdum massa lacus, a porttitor risus gravida sed. Nulla ultricies ex non sagittis vulputate. Integer fringilla convallis risus, id semper est interdum non.
LATEST ARTICLES
Quisque molestie tristique nisi et luctus. Proin eget velit quis lorem euismod pulvinar. Phasellus lobortis tellus dignissim metus varius volutpat. Integer a lacus mauris.
VISITA DE AGATHA CHRISTIE
Por fin recibimos a la mismísima Agatha Christie 🕵️♀️, que nos contó su vida, su obra y cómo se convirtió en una de las escritoras más leídas del mundo y sí, también nos habló de sus venenos preferidos... 😂 👉 La actividad forma parte de la serie “Mujeres Imprescindibles”, financiado por el Pacto de Estado contra la Violencia de Género. 📚 Todo el alumnado del CPEPA Casa Canal disfrutó de esta experiencia única, acercándose a la figura de una mujer pionera que rompió barreras y dejó una huella imborrable en la literatura universal. 👏 Como siempre un encuentro que nos recuerda la importancia de visibilizar y reconocer a las mujeres que han marcado la historia. 💜 Gracias a @teatrolaclac por brindarnos una más de sus actuaciones estelares! @epaaragon @teatrolaclac @innovaeducaaragon #epaaragon
Próxima visita de Agatha Christie, Ciclo Mujeres Imprescindibles
Muy pronto en Casa Canal… Una autora imprescindible se acerca. Un coche, una tabla de surf, millones de libros vendidos... 📖 Sus palabras han conquistado millones de lectores… 👤 ¿Quién es esta mujer que transformó la literatura en un fenómeno mundial? Efectivamente, hablamos de Agatha Christie que nos hará una visita en carne y hueso de la mano del teatro Laclac. 🔍👀🤗
ELECCIONES A CONSEJO ESCOLAR 2025
La jornada de elección de los representantes del alumnado en el Consejo Escolar de Casa Canal se ha desarrollado con total normalidad. Gracias a tod@s por participar. 😍
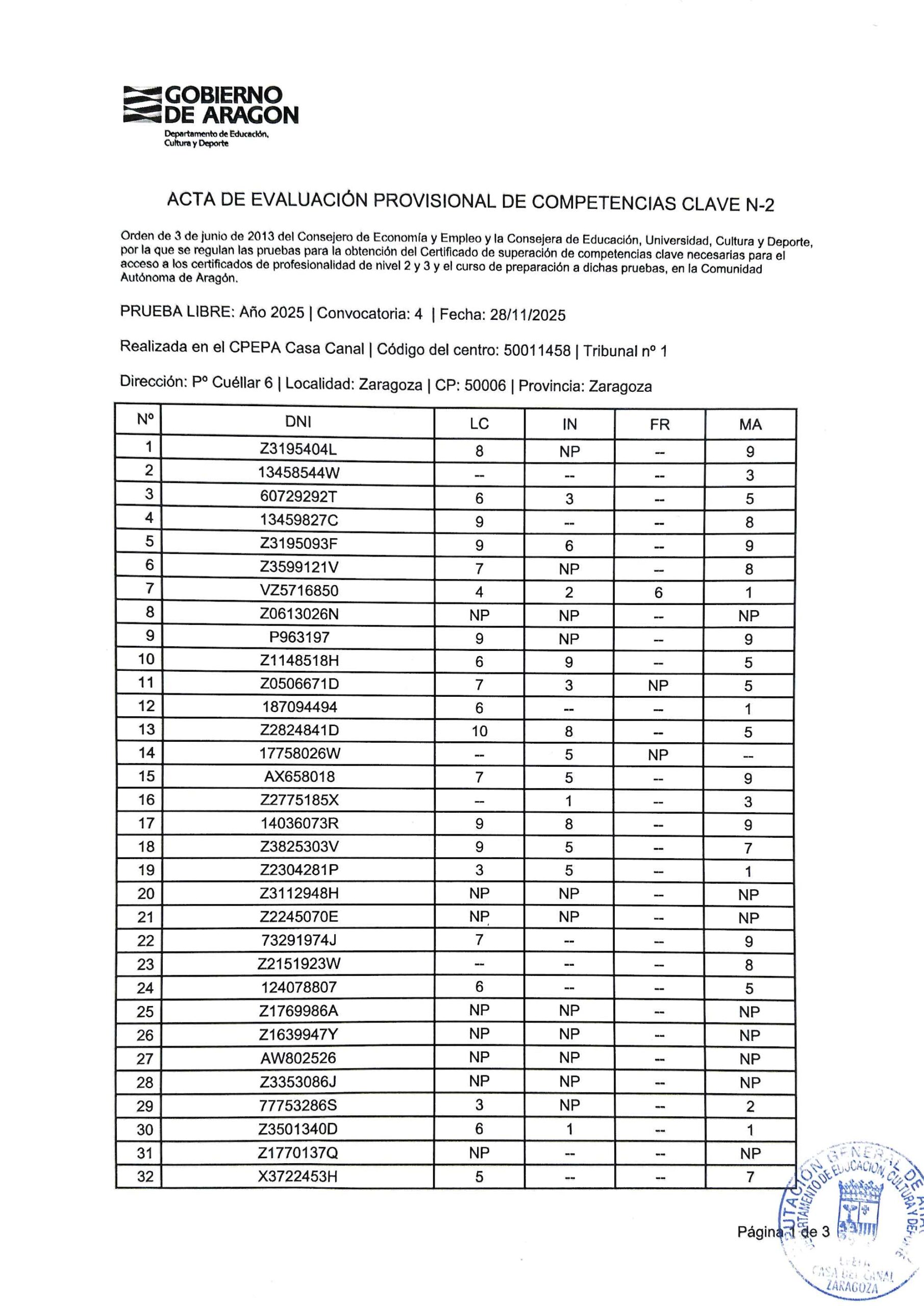
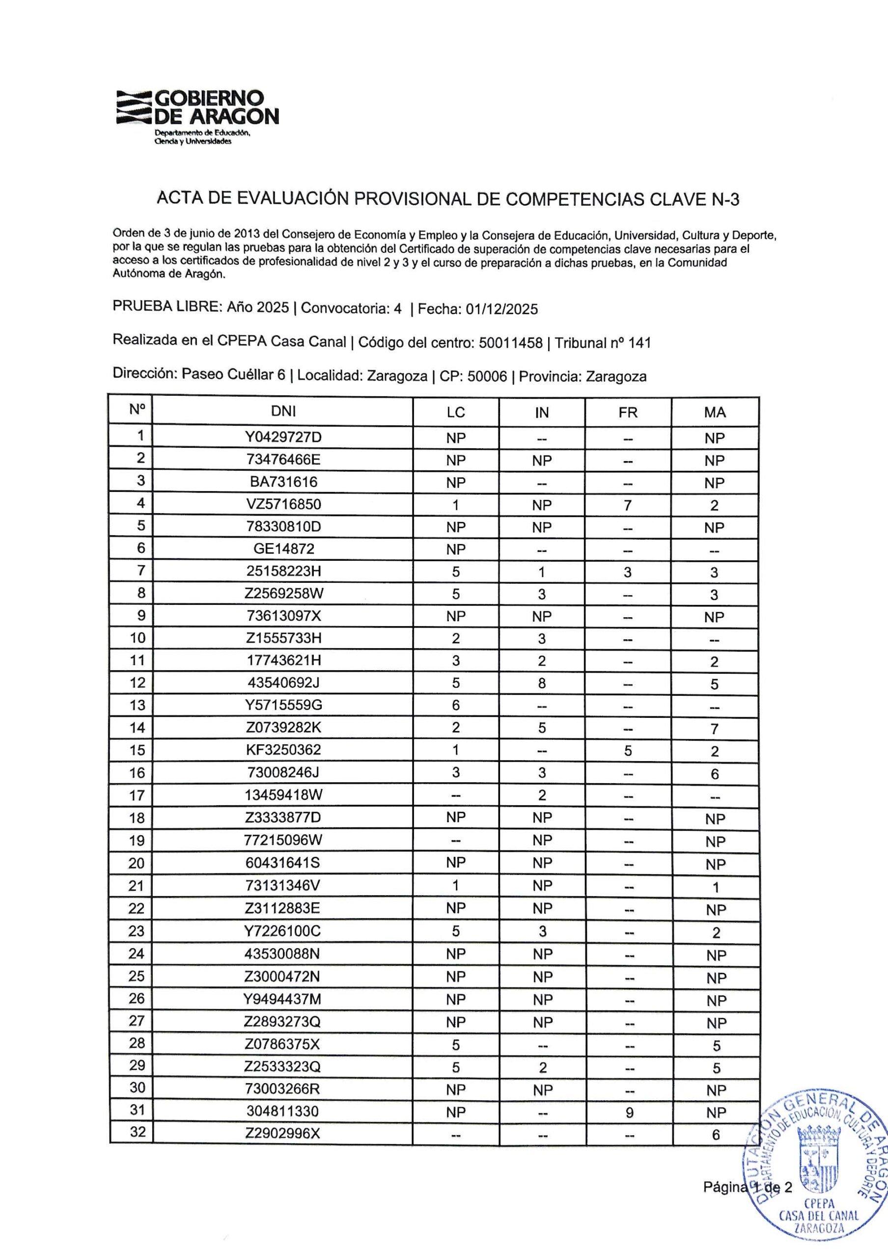
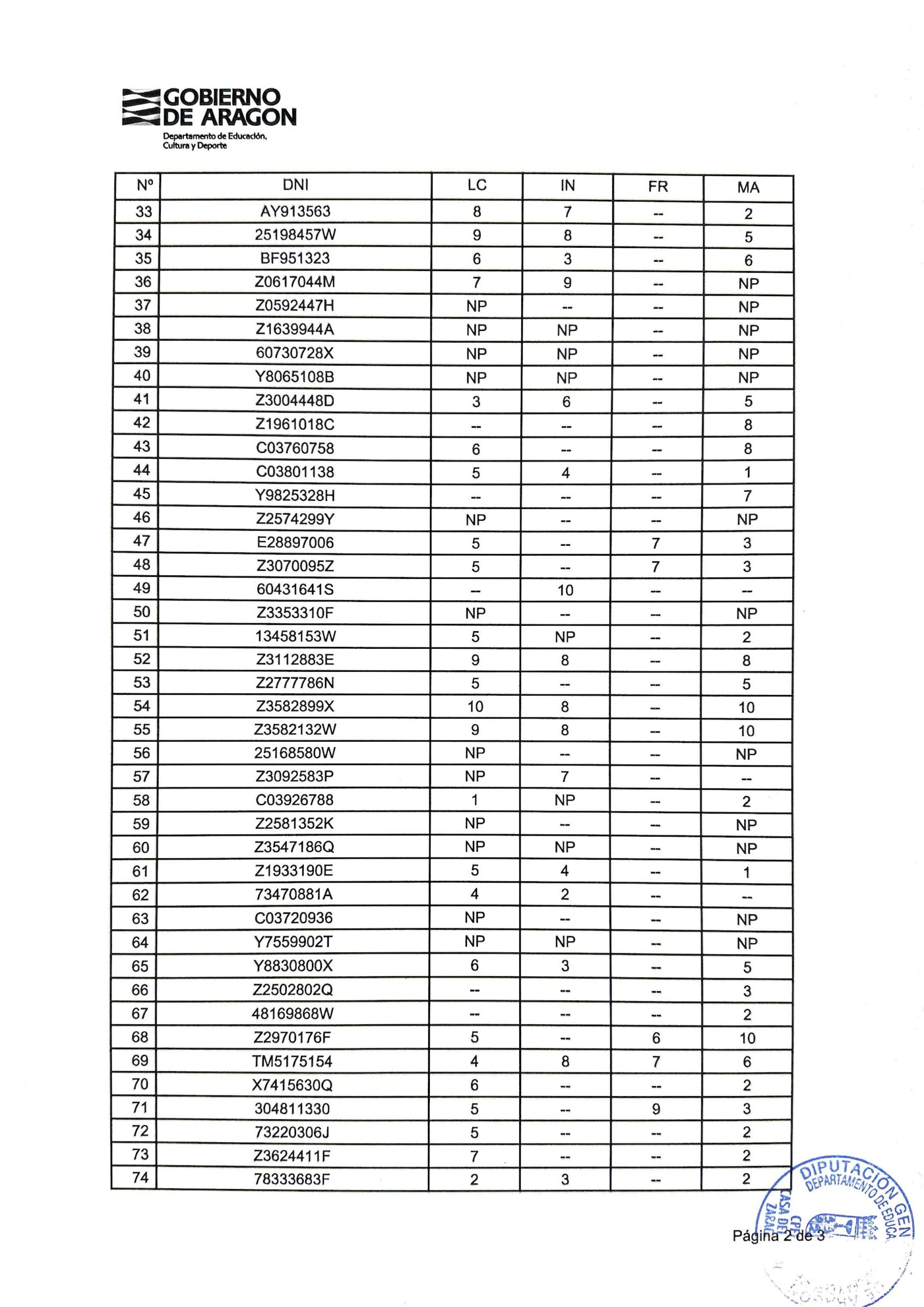
NORMAS Y MATERIALES PRUEBA LIBRE N2 28 de noviembre y N3 1 de diciembre
NORMAS Y MATERIALES PRUEBA LIBRE N2 viernes 28 de noviembre y N3 lunes 1 de diciembre: A TENER EN CUENTA… Acudir al centro a las 10:15. Deberás venir con tu DNI, NIE o pasaporte (en soporte físico), el mismo documento con el que realizaste la matrícula. Está prohibido el uso del móvil por lo que deberás traer calculadora para la prueba de matemáticas si así lo deseas. Los exámenes se completan en bolígrafo. En la prueba de matemáticas debes indicar el desarrollo de los problemas, no solo la solución.
QUALITY GUARANTEE
Sed venenatis urna sit amet vulputate lobortis. Nullam dolor sem, varius eu luctus vitae, mattis id dolor. Proin ultricies feugiat ipsum. Quisque lobortis risus sapien, quis pulvinar turpis placerat ut. Vivamus eu egestas est, commodo ultricies turpis. Donec a consequat nisi, non pellentesque risus. Fusce lacinia sem a mollis tempus. Etiam in sapien non odio ornare iaculis vel vel enim. Sed velit urna, pharetra non quam nec, consequat hendrerit ex. Phasellus ac rutrum diam.
LOCALIZACIÓN
Centro Público de Educación de Personas Adultas
Casa del Canal
Paseo J. A. Bolea Foradada, 20 (Antiguo Paseo de Cuéllar, 6)
50006 – Zaragoza
Tf: 976278886 – FAX: 976253556
OFFICE LINE
1.800.555.6789
EMERGENCY
1.800.555.0000
WORKING HOURS
9:00am – 6:00pm
OFFICE LINE
1.800.555.6789
EMERGENCY
1.800.555.0000
WORKING HOURS






